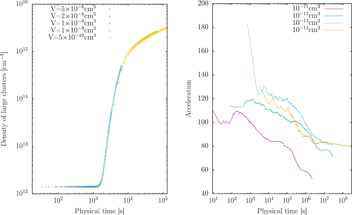
Fig. 9.
Download original image
Left: Master curve of the density of large clusters as a function of physical time during the simulation. Right: Estimated acceleration factor during the simulation. A cluster is considered large if it contains more than 250 vacancies and more than 250 helium atoms.
Current usage metrics show cumulative count of Article Views (full-text article views including HTML views, PDF and ePub downloads, according to the available data) and Abstracts Views on Vision4Press platform.
Data correspond to usage on the plateform after 2015. The current usage metrics is available 48-96 hours after online publication and is updated daily on week days.
Initial download of the metrics may take a while.
