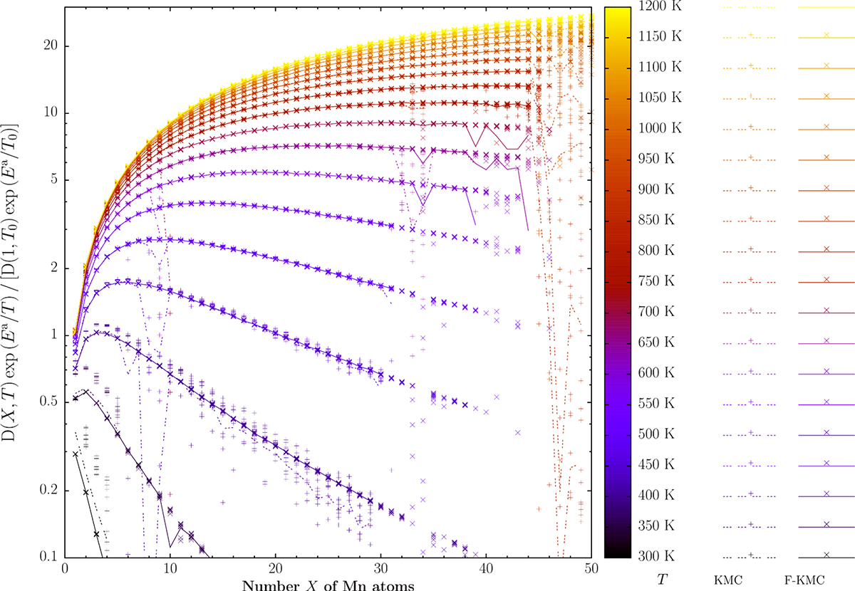
Fig. 4.
Download original image
Diffusion coefficients of Mn solute atoms as a function of cluster size for various temperatures T. For clarity, scaling is done relative to monomer diffusivity at T0 and its high-temperature activation energy Ea = 0.646 eV. Reference temperature is T0 = 600 K and reference diffusivity is D(1,T0)=6.716 × 10−15 m2 s−1 at vacancy concentration of 0.05% [13].
Current usage metrics show cumulative count of Article Views (full-text article views including HTML views, PDF and ePub downloads, according to the available data) and Abstracts Views on Vision4Press platform.
Data correspond to usage on the plateform after 2015. The current usage metrics is available 48-96 hours after online publication and is updated daily on week days.
Initial download of the metrics may take a while.
